III. DYNAMICAL THEORY OF TIDES (cont.)
21. Some Phenomena of Tides in Rivers
In § 2 we have given a description of some of the phenomena of the tide-wave in rivers. As a considerable part of our practical knowledge of tides is derived from observations in estuaries and rivers, we give an investigation of two of the most important features of the tide-wave in these cases. It must be premised that when the profile of a wave does not present the simple harmonic form it is convenient to analyse its shape into a series of partial waves superposed on a fundamental wave; and generally the principle of harmonic analysis is adopted, in which the actual wave is regarded as the sum of a number of simple harmonic waves.
The tide-wave in a river is a "long" wave in which the vertical motion of the water is very small compared with the horizontal, the river very shallow compared with the wave-length, and the water which is at any moment in a vertical plane always remains so throughout the oscillation.
Suppose that the water is contained in a straight and shallow canal of uniform depth; then take an origin of coordinates at the bottom, with the x axis horizontal in the direction of the canal, and the y axis vertical; let h be the undisturbed depth of water; let h + η be the ordinate of the surface corresponding to that fluid whose undisturbed abscissa is x and disturbed abscissa x + ξ ; and let g be gravity. The equations of motion and continuity [Footnote 362-1] are

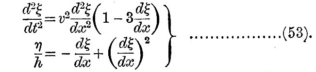
For brevity we shall write υ2 = gh and u = υt - x. Since for "long" waves dξ/dx is small, the equations (52) become approximately
For finding a first approximation we neglect the second term on the right of each of (53). The solution is obviously
(54) gives the height of the water whose undisturbed abscissa is x, and since ξ is small this is approximately the height at the point on the bank whose abscissa is x. But now suppose that at the origin (the mouth of the river) the canal communicates with a basin in which there is a forced oscilliation of water-level given by
This represents the oceanic tide, and n is that which we call below (§ 23) the speed of the tide. Then obviously m = n/υ, so that at any point x up the river
(56) gives the first approximation to the forced tide-wave, and it is clear that any number of oscillations may be propagated independently up the river with the velocity
due to the depth of the river. In passing to the second approximation we must separate the investigation into two branches.
(i.) Over-Tides (see § 24).We now suppose that the tide at the river mouth is simply (55). On substituting the approximate values (54) in (53) our equations become
We have now to assume an appropriate form for the solution of (57), such as
We have here in effect assumed that the second and third terms of (58) are small compared with the first. It is clear, however, that at a distance from the origin the term in A will become large. This difficulty may be eluded by taking the canal of finite length, and supposing that, where the canal debouches into a second basin, a second appropriate forced oscillation is maintained. The length of the canal remains arbitrary, save that the second term of (58) shall still be small compared with the first. On substituting from (58) in (57) we have B indeterminate and
; hence
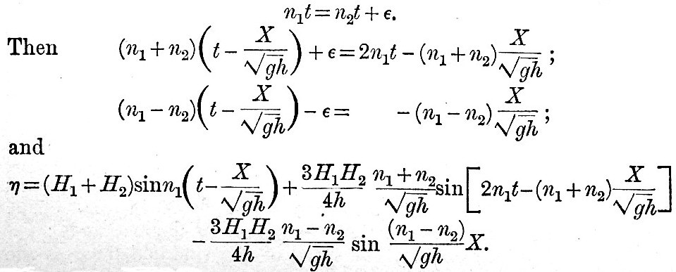
This gives the elevation of the water whose undisturbed abscissa is x, that is to say, at the point whose abscissa along the bank is X = x + ξ. If we put x = X - ξ in the largest term of (59), and treat ξ as small, and put x = X in the small terms, (59) becomes
But at the origin (55) holds true, therefore
, and mv = n. Thus the solution is
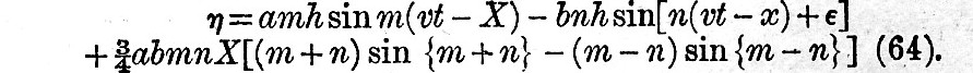
Fig. 1 [Footnote 362-2] read from left to right exhibits the progressive change of shape. The steepness of the advancing crest shows that it is a shorter time from low to high water than vice versa. The law of the ebb and flow of currents mentioned in § 2 may also be easily determined from the above investigation. We leave the reader to determine the effect of friction, which is given by inserting a term - μdξ/dt on the right-hand side of (57).
(ii.) Compound Tides (see § 24).We shall now consider the mutual influence of two waves of different periods travelling up the river together. In the first approximation they are quite independent, and we may assume
In proceeding to the second approximation, we only take notice of those terms which result from the interaction of the two, and omit all others, writing for the sake of brevity
With the value of ξ assumed in (61), we find, on substituting in (53) and only retaining terms depending on mutual influence, that the equations for the second approximation are
Now let us assume as the solution
and let us elude the difficulty about the increasing magnitude of the second term in the same way as before. Substituting in the equation of motion, we have for all time,
This gives
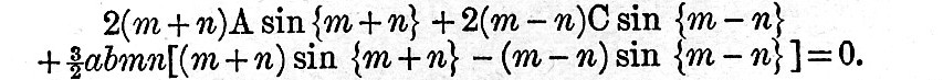
B and D remain arbitrary as before, and will be dropped, because they are to be determined by the condition that at the origin the terms of dξ/dx in cos {m + n}, cos {m - n} are to vanish, whence
Then we pass from x to X as in the last section, and make the terms in cos {m + n} and cos {m - n} vanish by proper values of B and D, and we have
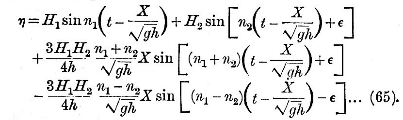
Now at the rivers mouth, where x = 0, suppose that the oceanic tide is represented by
.

Hence the front slope of the tide-wave is steeper at spring than at neap tide, and the compound tide shows itself in the form of an augmentation of the first over-tide; and the converse statements hold of neap tide. Also mean-water mark is lower and higher alternately up the river at spring tide, and higher and lower alternately at neap tide, by a small amount which depends on the differential tide. With the river which we were considering, the alternation would be so long that it would in actuality be either all lower or all higher.
Footnotes
362-1 See, for example. Lambs Hydrodynamics, chap. vii.
362-2 From Airy, "Tides and Waves."
Read the rest of this article:
Tides - Table of Contents