1902 Encyclopedia > Tides > [Dynamical Theory of Tides] Semi-Diurnal Tide, with Variable Depth

Tides
(Part 15)




III. DYNAMICAL THEORY OF TIDES (cont.)

15. Semi-Diurnal Tide, with Variable Depth


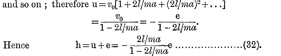
Next let us consider the semi-diurnal tide in the case where q = 1, so that γ = l sin2 θ. Then e = E sin2 θ, k = 2 , f = 1 ; also υ 0 = – e = – E sin2 θ. Hence by (28) and (26) – 8lυ0 + 4mlυ1 = 0, whence υ1 = 2/mυ0. Applying the same theorem a second time, υ2 = (2/m)2 υ0,



If the height of tide is equal to the equilibrium height; but it is inverted, giving low water where the equilibrium theory gives high water. In the case of the earth m = 1/289, and therefore this relation is satisfied if l = a/1156. Hence in a sea 3000 fathoms deep at the equator, and shallowing to the poles, we have inverted semi-diurnal tides of the equilibrium height.






Read the rest of this article:
Tides - Table of Contents






About this EncyclopediaTop ContributorsAll ContributorsToday in History
Sitemaps
Terms of UsePrivacyContact Us



© 2005-21 1902 Encyclopedia. All Rights Reserved.

This website is the free online Encyclopedia Britannica (9th Edition and 10th Edition) with added expert translations and commentaries