1902 Encyclopedia > Tides > [Dynamical Theory of Tides] Diurnal Tide

Tides
(Part 14)




III. DYNAMICAL THEORY OF TIDES (cont.)

14. Diurnal Tide


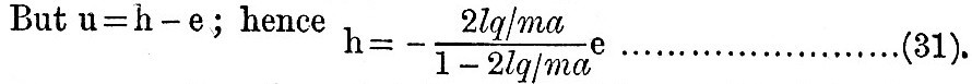
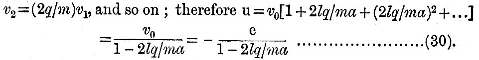
Let us first consider the diurnal tides. We have e = E sin θ cos θ, k = l, and then υ0 = – E sin θ cos θ. Hence by (28) and (25)



and therefore Applying the same theorem a second time,





It appears, therefore, that the tide is "inverted," giving low water where the equilibrium tide gives high water. If q = 0, so that the ocean is of uniform depth, the tide vanishes.






Read the rest of this article:
Tides - Table of Contents






About this EncyclopediaTop ContributorsAll ContributorsToday in History
Sitemaps
Terms of UsePrivacyContact Us



© 2005-21 1902 Encyclopedia. All Rights Reserved.

This website is the free online Encyclopedia Britannica (9th Edition and 10th Edition) with added expert translations and commentaries